Top 5 BEST Maths Topics of ALL TIME

maths best!!!

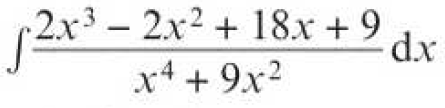
  1. Integration
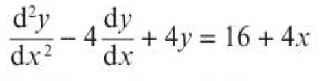
  2. Differential Equations
  3. Complex analysis
  4. L'Hopitals rule
  5. Integration again (it is too good)

Enter your favourite maths topic here:

Click here to do more maths!